English
世程原网
网站说明
联系我们
首页
新闻中心
程氏新闻
社会新闻
公告通知
寻访新闻
走进世程
世程介绍
机构职能
组成人员
理事丰采
谱牒世系
谱牒选登
家规家训
郡望堂号
字辈派语
寻根问祖
支祖溯源
迁徙分布
寻根资料
寻根咨询
祠牌墓碑
宗祠家庙
墓陵碑文
牌坊楹联
祠墓保护
理学天地
名胜书院
二程理学
朱子百家
史志文献
程氏企业
祖传技能
程氏名企
徽商天地
职场经验
程氏名人
古代名人
现代名人
当代学子
名人传奇
视频影像
程氏视频
社会视频
寻根视图
综合影视
当前位置在:
首页
> 谱牒选登
谱牒世系
谱牒选登
家规家训
郡望堂号
字辈派语
谱牒世系
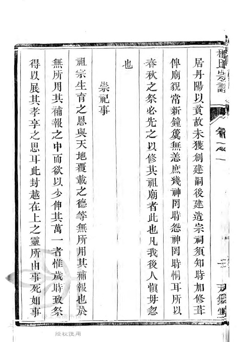
丹阳程氏新修族谱 江苏 丹阳 清光绪23年(1897) 6册\卷(1)11